AI Banker

Blackmont

Government Bonds Analysis

The Government Bonds Analysis Section provides an in-depth exploration of sovereign debt instruments from a wide array of countries and economic zones. This section is designed to evaluate critical factors such as yield, maturity (term), credit rating, and currency, offering investors a comprehensive overview of global fixed-income opportunities.

Government bonds are essential components of diversified portfolios, offering stability and consistent returns. The analysis leverages advanced visualizations and data-driven insights to compare bonds across various sovereign issuers, enabling investors to identify optimal choices based on their specific risk tolerance and return objectives.

By focusing on sovereign debt, the tool supports portfolio construction strategies that prioritize security and risk mitigation. It integrates key metrics to assess the relative strength and appeal of bonds, enhancing the decision-making process for professional and personal investors alike.

1. Introduction:

This section incorporates a curated dataset of government bonds from issuers worldwide, representing a diverse range of maturities, ratings, and yields. The analysis is grounded in the following key attributes:

  • Yield to Maturity: Detailed insights into the potential return of each bond, allowing investors to gauge profitability over the bond's lifespan.
  • Maturity (Term): Bonds are categorized by short-term, medium-term, and long-term durations, accommodating varying investment horizons and liquidity preferences.
  • Credit Ratings: Evaluations provided by major rating agencies (e.g., Moody’s, S&P, Fitch) to assess the creditworthiness of issuers and sovereign risk levels.
  • Currency Exposure: The analysis considers the impact of currency denomination on risk and return, particularly for international investors managing exchange rate exposure.

The section employs advanced filtering tools, enabling investors to refine their search based on yield thresholds, credit quality, and term preferences. This approach facilitates the identification of bonds that align with specific investment strategies, whether focused on income generation, safety, or diversification.

Government bond data is dynamically updated to reflect the latest market conditions, ensuring access to accurate and timely information. This ensures that investors can stay ahead of economic developments and geopolitical changes, enhancing their ability to make informed decisions in a rapidly evolving financial landscape.

With its emphasis on precision and clarity, the Government Bonds Analysis Section serves as an indispensable resource for navigating the complexities of sovereign debt markets and building resilient, goal-oriented portfolios.

2. Analysis of Selected Government Bonds:

Comprehensive Insights into Government Bonds: Term, Rating, and Yield Dynamics

Government bonds are essential investment vehicles offering varying terms, ratings, and yields. This article explores these key metrics, focusing on Term, Rating, and Yield to understand how they interact and influence the performance and risks associated with bonds. The analysis draws from a diverse dataset contained within the bondsJson.json file, providing a rich landscape of country-specific bond characteristics and investor considerations.

Analysis

An extensive review of government bonds reveals notable patterns and relationships:

  • Term to Maturity: Bonds with longer terms typically offer higher yields to compensate for the increased duration risk. However, this relationship can vary significantly by country due to differing economic conditions and inflation expectations.
  • Rating Influence: Ratings critically impact the yield spread. Bonds with high ratings (such as AAA) typically exhibit lower yields due to perceived stability, whereas lower-rated bonds (such as B or below) offer higher yields to attract investors seeking risk-adjusted returns.
  • Country-Specific Patterns: Developed countries with robust economies generally exhibit bonds with lower yields and higher ratings. For example, U.S. Treasury bonds often have stable yields and high ratings, reflecting economic strength and low default risk. Conversely, emerging markets might show higher yields and more varied ratings, capturing the trade-off between growth potential and economic uncertainty.
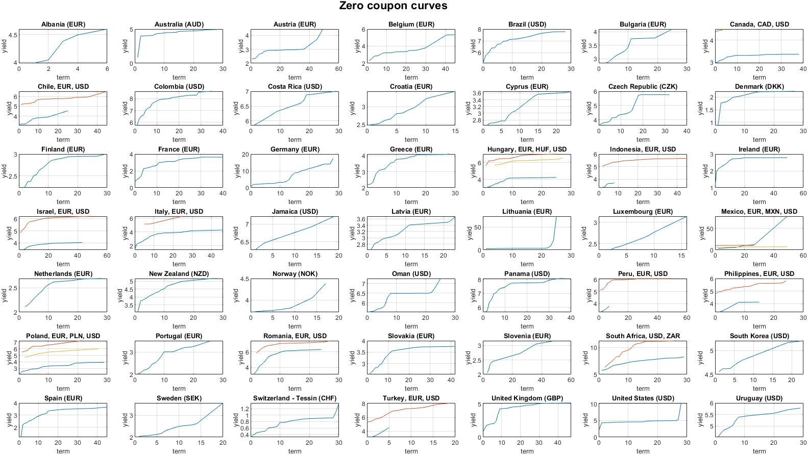
  • Yield Curves and Economic Indicators: An inverted yield curve sometimes indicates economic recession. Cross-country analysis shows varying curve shapes, reflecting diverse monetary policies and growth expectations.
  • Performance by Rating: Bonds rated AAA to AA are commonly utilized by conservative investors focusing on capital preservation. In contrast, BBB-rated bonds attract those seeking higher income through moderately increased risk exposure.

Overall, understanding the intricate dance between these indicators is crucial for building a resilient bond portfolio, tailored to investor risk appetite and market conditions.

Conclusion

In summary, government bonds exhibit complex dynamics shaped by term, rating, and yield interactions. The diverse landscape offered by different countries provides both predictable income streams and opportunities for strategic risk-taking. High-rated bonds offer safety and stability, suitable for risk-averse individuals, while mid-rated options open doors for higher yields during favorable economic times. Investors should continuously monitor global economic indicators and rating agency updates to maintain optimal bond portfolio performance.


ZCoupon